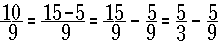
Die Addition und Subtraktion von Brüchen ist etwas komplizierter. Sollen zwei Brüche addiert oder subtrahiert werden, so müssen sie zunächst auf den Hauptnenner gebracht werden. Am besten läßt sich das Verfahren an einem Beispiel verdeutlichen:

Bei dem ersten Ausdruck steht 9 und bei dem zweiten 5 im Nenner. Die Brüche können erst addiert werden, wenn bei beiden das Gleiche im Nenner steht. Hierzu müssen die Brüche erweitert werden. Der erste Bruch kann mit dem Nenner des zweiten und der zweite Bruch mit dem Nenner des ersten erweitert werden:

Nun, da beide Brüche den gleichen Nenner haben, dürfen die Zähler addiert werden:

Wenn mehr als zwei Brüche addiert oder subtrahiert werden sollen, so muß jeder Bruch mit den Nennern aller anderen Brüche erweitert werden. Z.B.:

Wenn die Nenner gemeinsame Faktoren enthalten, kann man sich allerdings die Arbeit leichter machen. Dies wird anhand des nachfolgenden Beispiels gezeigt:

Hier reicht es, den zweiten Bruch mit 3 zu erweitern, denn dann haben alle Brüche den gleichen Nenner.

Die Nenner brauchen also zum Addieren oder Subtrahieren nur auf das kleinste gemeinsame Vielfache gebracht zu werden.

Auch die Addition von Brüchen läßt sich "umdrehen". Ein Bruch kann z.B. folgendermaßen in mehrere Brüche aufgespalten werden:


oder auch

Es sei angemerkt, daß derartige Aufspaltungen nur mit dem Zähler (das was oben steht) und keinesfalls mit dem Nenner (das was unten steht) durchgeführt werden dürfen.

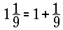
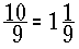
Brüche, deren Wert größer als 1 ist, schreibt man auch als gemischte Zahl. Z.B. schreibt man:

Den rechten Ausdruck nennt man eine gemischte Zahl. Es handelt sich um eine abkürzende Schreibweise, bei der das Pluszeichen weggelassen wird. Es gilt:

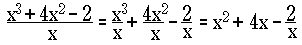
Wenn im Zähler oder Nenner Summen oder Differenzen stehen und gekürzt werden soll, so ist zu beachten, daß aus jedem Term gekürzt wird:

Abschließend sei angeführt, daß ein Quotient genau dann Null ist, wenn der Zähler Null und der Nenner gleichzeitig ungleich Null ist. Sei folgendes Beispiel betrachtet:

Nun wird der Zähler gleich Null gesetzt:

Diese Gleichung kann mittels der pq-Formel gelöst werden:

Wird die 2 in den Nenner eingesetzt, ergibt sich: 2 + 2 = 4. Somit ist der Nenner ungleich Null, und der Bruch wird für x=2 Null.

home - anschauliche Bücher zur Mathematik - e-mail

Alle Inhalte dieser Seite sind geschützt. Die Wiedergabe durch Dritte, egal in welcher Form, bedarf der Genehmigung.
Letzte Änderung dieser Seite: Montag, 26.09.2011